반응형
문제 설명
N개의 마을로 이루어진 나라가 있습니다. 이 나라의 각 마을에는 1부터 N까지의 번호가 각각 하나씩 부여되어 있습니다. 각 마을은 양방향으로 통행할 수 있는 도로로 연결되어 있는데, 서로 다른 마을 간에 이동할 때는 이 도로를 지나야 합니다. 도로를 지날 때 걸리는 시간은 도로별로 다릅니다. 현재 1번 마을에 있는 음식점에서 각 마을로 음식 배달을 하려고 합니다. 각 마을로부터 음식 주문을 받으려고 하는데, N개의 마을 중에서 K 시간 이하로 배달이 가능한 마을에서만 주문을 받으려고 합니다. 다음은 N = 5, K = 3인 경우의 예시입니다.

위 그림에서 1번 마을에 있는 음식점은 [1, 2, 4, 5] 번 마을까지는 3 이하의 시간에 배달할 수 있습니다. 그러나 3번 마을까지는 3시간 이내로 배달할 수 있는 경로가 없으므로 3번 마을에서는 주문을 받지 않습니다. 따라서 1번 마을에 있는 음식점이 배달 주문을 받을 수 있는 마을은 4개가 됩니다.
마을의 개수 N, 각 마을을 연결하는 도로의 정보 road, 음식 배달이 가능한 시간 K가 매개변수로 주어질 때, 음식 주문을 받을 수 있는 마을의 개수를 return 하도록 solution 함수를 완성해주세요.
제한사항
- 마을의 개수 N은 1 이상 50 이하의 자연수입니다.
- road의 길이(도로 정보의 개수)는 1 이상 2,000 이하입니다.
- road의 각 원소는 마을을 연결하고 있는 각 도로의 정보를 나타냅니다.
- road는 길이가 3인 배열이며, 순서대로 (a, b, c)를 나타냅니다.
- a, b(1 ≤ a, b ≤ N, a != b)는 도로가 연결하는 두 마을의 번호이며, c(1 ≤ c ≤ 10,000, c는 자연수)는 도로를 지나는데 걸리는 시간입니다.
- 두 마을 a, b를 연결하는 도로는 여러 개가 있을 수 있습니다.
- 한 도로의 정보가 여러 번 중복해서 주어지지 않습니다.
- K는 음식 배달이 가능한 시간을 나타내며, 1 이상 500,000 이하입니다.
- 임의의 두 마을간에 항상 이동 가능한 경로가 존재합니다.
- 1번 마을에 있는 음식점이 K 이하의 시간에 배달이 가능한 마을의 개수를 return 하면 됩니다.
입출력 예
N | road | K | result |
5 | [[1,2,1],[2,3,3],[5,2,2],[1,4,2],[5,3,1],[5,4,2]] | 3 | 4 |
6 | [[1,2,1],[1,3,2],[2,3,2],[3,4,3],[3,5,2],[3,5,3],[5,6,1]] | 4 | 4 |
입출력 예 설명
입출력 예 #1
문제의 예시와 같습니다.
입출력 예 #2
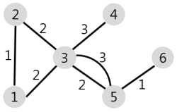
주어진 마을과 도로의 모양은 아래 그림과 같습니다.

1번 마을에서 배달에 4시간 이하가 걸리는 마을은 [1, 2, 3, 5] 4개이므로 4를 return 합니다.
나의 풀이
const N = 6;
const road = [
[1, 2, 1],
[1, 3, 2],
[2, 3, 2],
[3, 4, 3],
[3, 5, 2],
[3, 5, 3],
[5, 6, 1],
];
const K = 4;
function solution(N, road, K) {
// 이동 가능한 모든 경로의 가중치
const arr = [];
// 가중치 값
const max = K + 1;
// 방문한 최단 거리
let dist = new Array(N).fill(max);
// 방문 유무
const visit = new Array(N).fill(false);
// 이동 가능한 모든 경로를 기본적으로 가중치로 초기화를 시킨다.
for (let i = 0; i < N; i++) {
arr.push([]);
for (let j = 0; j < N; j++) {
arr[i].push(max);
}
// 자기 자신은 0이기 때문에 0으로 초기화
arr[i][i] = 0;
}
// road를 통해 실제 경로의 가중치를 대입한다.
for (let i = 0; i < road.length; i++) {
const [point1, point2, value] = road[i];
arr[point1 - 1][point2 - 1] = Math.min(arr[point1 - 1][point2 - 1], value);
arr[point2 - 1][point1 - 1] = Math.min(arr[point2 - 1][point1 - 1], value);
}
// 항상 0, 즉 1에서부터 시작하기 때문에 고정시킨다.
dist[0] = 0;
for (let i = 1; i < N; i++) {
let min = max + 1;
let index = -1;
for (let j = 0; j < N; j++) {
console.log(!visit[j], min > dist[j], dist[j]);
if (!visit[j] && min > dist[j]) {
min = dist[j];
index = j;
}
}
visit[index] = true;
for (let k = 0; k < N; k++) {
if (
arr[index][k] < max &&
!visit[k] &&
dist[index] + arr[index][k] < dist[k]
) {
dist[k] = dist[index] + arr[index][k];
}
}
}
dist = dist.filter((data) => data <= K);
return dist.length;
}
console.log(solution(N, road, K));
최단 경로 알고리즘을 사용해서 문제를 풀었다.
반응형
'알고리즘' 카테고리의 다른 글
[알고리즘] 올바른 괄호 (1) | 2022.08.06 |
---|---|
[알고리즘] 괄호 회전하기 (1) | 2022.08.04 |
[알고리즘] 위장 (1) | 2022.08.02 |
[알고리즘] 후보키 (1) | 2022.07.30 |
[알고리즘] 순위 검색 (2) | 2022.07.27 |