반응형
문제 설명
n개의 노드가 있는 그래프가 있습니다. 각 노드는 1부터 n까지 번호가 적혀있습니다. 1번 노드에서 가장 멀리 떨어진 노드의 갯수를 구하려고 합니다. 가장 멀리 떨어진 노드란 최단경로로 이동했을 때 간선의 개수가 가장 많은 노드들을 의미합니다.
노드의 개수 n, 간선에 대한 정보가 담긴 2차원 배열 vertex가 매개변수로 주어질 때, 1번 노드로부터 가장 멀리 떨어진 노드가 몇 개인지를 return 하도록 solution 함수를 작성해주세요.
제한사항
- 노드의 개수 n은 2 이상 20,000 이하입니다.
- 간선은 양방향이며 총 1개 이상 50,000개 이하의 간선이 있습니다.
- vertex 배열 각 행 [a, b]는 a번 노드와 b번 노드 사이에 간선이 있다는 의미입니다.
입출력 예
n | edge | return |
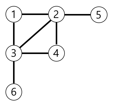
6 | [[3, 6], [4, 3], [3, 2], [1, 3], [1, 2], [2, 4], [5, 2]] | 3 |
예제의 그래프를 표현하면 아래 그림과 같고, 1번 노드에서 가장 멀리 떨어진 노드는 4,5,6번 노드입니다.

나의 풀이
const n = 6;
const edge = [
[3, 6],
[4, 3],
[3, 2],
[1, 3],
[1, 2],
[2, 4],
[5, 2],
[1, 6],
];
function solution(n, edge) {
const graph = Array.from(Array(n + 1), () => []);
for (const [src, dest] of edge) {
graph[src].push(dest);
graph[dest].push(src);
}
const dist = Array(n + 1).fill(0);
dist[1] = 1;
const queue = [1];
while (queue.length > 0) {
const src = queue.shift();
for (const dest of graph[src]) {
if (dist[dest] === 0) {
dist[dest] = dist[src] + 1;
queue.push(dest);
}
}
}
const max = Math.max(...dist);
return dist.filter((item) => item === max).length;
}
solution(n, edge);
BFS를 활용하여서 문제를 풀었다.
먼저 그래프를 만들어 각 노드에 연결된 노드를 넣어준다.
그리고 queue를 만들어서 시작 지점부터 연결된 노드들을 반복하고 거리를 dist에 넣어서 각 노드까지의 거리를 구한다.
반응형
'알고리즘' 카테고리의 다른 글
[알고리즘] 소수 범위 구하기 (1) | 2022.08.24 |
---|---|
[알고리즘] 배달 - BFS를 다시 공부하고 (0) | 2022.08.20 |
[알고리즘] 입국 심사 (0) | 2022.08.18 |
[알고리즘] 자동 완성 (0) | 2022.08.16 |
[알고리즘] 배상 비용 최소화 (2) | 2022.08.14 |