들어가며
이 전에 배달 문제를 풀었는데, 그땐 BFS를 정확하게 이해하지 못한 상태로 문제를 풀어서
코드 자체가 엉성했는데, 이번에 가장 먼 노드 문제를 풀고 다시 한번 도전해보았다.
문제 설명
N개의 마을로 이루어진 나라가 있습니다. 이 나라의 각 마을에는 1부터 N까지의 번호가 각각 하나씩 부여되어 있습니다. 각 마을은 양방향으로 통행할 수 있는 도로로 연결되어 있는데, 서로 다른 마을 간에 이동할 때는 이 도로를 지나야 합니다. 도로를 지날 때 걸리는 시간은 도로별로 다릅니다. 현재 1번 마을에 있는 음식점에서 각 마을로 음식 배달을 하려고 합니다. 각 마을로부터 음식 주문을 받으려고 하는데, N개의 마을 중에서 K 시간 이하로 배달이 가능한 마을에서만 주문을 받으려고 합니다. 다음은 N = 5, K = 3인 경우의 예시입니다.

위 그림에서 1번 마을에 있는 음식점은 [1, 2, 4, 5] 번 마을까지는 3 이하의 시간에 배달할 수 있습니다. 그러나 3번 마을까지는 3시간 이내로 배달할 수 있는 경로가 없으므로 3번 마을에서는 주문을 받지 않습니다. 따라서 1번 마을에 있는 음식점이 배달 주문을 받을 수 있는 마을은 4개가 됩니다.
마을의 개수 N, 각 마을을 연결하는 도로의 정보 road, 음식 배달이 가능한 시간 K가 매개변수로 주어질 때, 음식 주문을 받을 수 있는 마을의 개수를 return 하도록 solution 함수를 완성해주세요.
제한사항
- 마을의 개수 N은 1 이상 50 이하의 자연수입니다.
- road의 길이(도로 정보의 개수)는 1 이상 2,000 이하입니다.
- road의 각 원소는 마을을 연결하고 있는 각 도로의 정보를 나타냅니다.
- road는 길이가 3인 배열이며, 순서대로 (a, b, c)를 나타냅니다.
- a, b(1 ≤ a, b ≤ N, a != b)는 도로가 연결하는 두 마을의 번호이며, c(1 ≤ c ≤ 10,000, c는 자연수)는 도로를 지나는데 걸리는 시간입니다.
- 두 마을 a, b를 연결하는 도로는 여러 개가 있을 수 있습니다.
- 한 도로의 정보가 여러 번 중복해서 주어지지 않습니다.
- K는 음식 배달이 가능한 시간을 나타내며, 1 이상 500,000 이하입니다.
- 임의의 두 마을간에 항상 이동 가능한 경로가 존재합니다.
- 1번 마을에 있는 음식점이 K 이하의 시간에 배달이 가능한 마을의 개수를 return 하면 됩니다.
입출력 예
N | road | K | result |
5 | [[1,2,1],[2,3,3],[5,2,2],[1,4,2],[5,3,1],[5,4,2]] | 3 | 4 |
6 | [[1,2,1],[1,3,2],[2,3,2],[3,4,3],[3,5,2],[3,5,3],[5,6,1]] | 4 | 4 |
입출력 예 설명
입출력 예 #1
문제의 예시와 같습니다.
입출력 예 #2
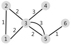
주어진 마을과 도로의 모양은 아래 그림과 같습니다.

1번 마을에서 배달에 4시간 이하가 걸리는 마을은 [1, 2, 3, 5] 4개이므로 4를 return 합니다.
나의 풀이
const road = [[1, 1, 1]];
const N = 1;
const K = 3;
function solution(N, road, K) {
const graph = Array.from(Array(N + 1), () => []);
for (const [src, desc, value] of road) {
graph[src].push([desc, value]);
graph[desc].push([src, value]);
}
const dist = Array(N + 1).fill(-1);
dist[1] = 0;
const queue = [1];
while (queue.length > 0) {
const src = queue.shift();
for (const [desc, value] of graph[src]) {
const point = dist[src] + value;
if (dist[desc] === -1 || dist[desc] > point) {
dist[desc] = point;
queue.push(desc);
}
}
}
return dist.filter((data) => data !== -1 && data <= K).length;
}
solution(N, road, K);
'알고리즘' 카테고리의 다른 글
[알고리즘] 배달 - 다익스트라 알고리즘 (0) | 2022.08.30 |
---|---|
[알고리즘] 소수 범위 구하기 (1) | 2022.08.24 |
[알고리즘] 가장 먼 노드 (1) | 2022.08.19 |
[알고리즘] 입국 심사 (0) | 2022.08.18 |
[알고리즘] 자동 완성 (0) | 2022.08.16 |